Publications

153
Protective effects of a 1,4-dihydropyridine-indole derivative against diabetic nephropathy via modulation of oxidative stress, inflammation, and fibrosis
Shadab Ahmad, Rahul Baghel, Sarita Katiyar, Pawan Kumar, Manisha Yadav, Nikita Chhikara, Dilip Panwar, Ishbal Ahmad, Madhav N Mugale, Koneni V Sashidhara*, Akhilesh K Tamrakar*
European Journal of Pharmacology, 2025, 1007, 178255



152
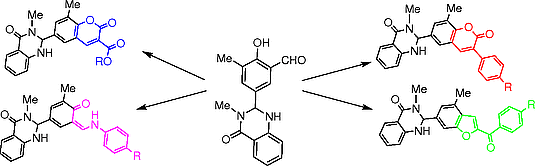
Unraveling the Straightforward Synthesis of Highly Functionalized m-Terphenyls via [4 + 2] Annulations of Ynones and ?,?-Dicyanoalkenes
Sarita Katiyar, Arvind Kumar Jaiswal, Ajay Kishor Kushawaha, Hemlata Bhatt, Ruchir Kant, Koneni V Sashidhara*
Journal of Organic Chemistry, 2025, 90, 14094�14099



150
Synthesis and evaluation of lactam and maleimide derivatives of 16-hydroxycleroda-3, 13 (14) Z-dien-15, 16-olide from Polyalthia longifolia as potential anticancer agents
Sushil Kumar, Alka Raj Pandey, Suriya Pratap Singh, Abinash Swain, Amol Chhatrapati Bisen, Sristi Agrawal, Shahid Parwez, Durga Prasad Mishra, Rabi Sankar Bhatta, Mohammad Imran Siddiqi, Dibyendu Banerjee, Koneni V. Sashidhara*
European Journal of Medicinal Chemistry, 2025, 297, 117894



149
Development of Novel Phthalazinone-Triazole Hybrids as Potential Antidiabetic Agents Targeting GLUT4 Translocation in Skeletal Muscle
AK Kushawaha, AK Jaiswal, P Kumar, S Katiyar, R Baghel, H Bhatt, J Gupta, A Ansari, P Yadav, I Ahmad, AD Choudhury, RS Bhatta, AK Tamrakar, Koneni V. Sashidhara*.
Journal of Medicinal Chemistry 2025, 68(11), 10722-10737.



148
Design, synthesis, and biological evaluation of isoxazole-dihydropyrimidinone hybrids as potential modulators of adipogenesis and dyslipidemia.
A Ansari, N Khandelwal, J Gupta, P Rai, AK Jaiswal, AcSingh, S Katiyar, AK Kushawaha, V Kushwaha, A Vishwakarma, D Singh, A Biswas, R Kumar, RS Bhatta, AN Gaikwad, Koneni V. Sashidhara*.
European Journal of Medicinal Chemistry 2025, 294, 117746



147
Exploring indole-dihydropyrimidinone derivatives: Design, synthesis, biological assessment, SAR analysis, and evaluation of mode of action in experimental visceral leishmaniasis
G Mishra, AK Jaiswal, AK Kushawaha, A Kumar, H Bhatt, A Ansari, AC Bisen, R Hansda, S Agrawal, P Acharjee, R Guha, RS Bhatta, B Purkait, Koneni V. Sashidhara*.
European Journal of Medicinal Chemistry 2025, 293, 117667



146
Design, synthesis and evaluation of novel carboline-triazole hybrids as promising antimalarial agents.
AK Kushawaha, R Nandi, AK Jaiswal, H Bhatt, S Katiyar, A Ansari, AD Choudhury, S Ali, S Mishra, RS Bhatta, M Srivastava, S Mishra, Koneni V. Sashidhara*.
European Journal of Medicinal Chemistry 2025, 290, 117514



145
Design, synthesis, and biological evaluation of quinazolinone-dihydropyrimidinone as a potential anti-diabetic agent via GLUT4 translocation stimulation.
AK Jaiswal, AK Kushawaha, Pawan Kumar, A Ansari, N Chhikara, Hemlata Bhatt, S Katiyar, I Ahmad, AD Choudhury, RS Bhatta, AK Tamrakar, Koneni V. Sashidhara*.
European Journal of Medicinal Chemistry, 2025, 288, 117366.



144
Design, synthesis and biological evaluation of new class of pyrazoles-dihydropyrimidinone derivatives as bone anabolic agents
Arvind Kumar Jaiswal, Anuj Raj, Ajay Kishor Kushawaha, Bhaskar Maji, Hemlata Bhatt, Shikha Verma, Sarita Katiyar, Alisha Ansari, Amol Chhatrapati Bisen, Arsh Tripathi, M.I. Siddiqi, Rabi Sankar Bhatta, Ritu Trivedi*, Koneni V. Sashidhara*
Bioorganic Chemistry, 2025, 157, 108216



143
A new phytopharmaceutical obtained from Polyalthia longifolia with anti-dyslipidemic potential: Mechanistic pathway insights exploiting co-inverse miRNA-mRNA expression analysis.
Nilesh Khandelwal, Suriya Pratap Singh, Prashant Rai, Vinita Kushwaha, Sanchita Gupta, Astha Singh, Lorie Dehury, Amol Chhatrapati Bisen, Amrendra K. Tiwari, Manish K. Chourasia, Rabi Sankar Bhatta, Sudeep Tandon, Koneni V. Sashidhara*, Anil N. Gaikwad*
European Journal of Pharmacology 2025, 991, 177297



142
Synergy between human DNA ligase I and topoisomerase 1 unveils new therapeutic strategy for the management of colorectal cancer
Pooja Maurya, Rohit Singh Rawat, Sampa Gupta, Shagun Krishna, Mohammad Imran Siddiqi, Koneni V. Sashidhara, Dibyendu Banerjee
Journal Of Biomolecular Structure and Dynamics 2025, 43(7), 3390�3405



138
Antitubercular evaluation of dihydropyridine-triazole conjugates: design, synthesis, in vitro screening, SAR and in silico ADME predictions
Ajay Kishor Kushawaha, Arvind Kumar Jaiswal, Jay Gupta, Sarita Katiyar, Alisha Ansari, Hemlata Bhatt, Sandeep K. Sharma, Abhijit Deb Choudhury, Rabi Sankar Bhatta, Bhupendra N. Singh, Koneni V. Sashidhara*
RSC Medicinal Chemistry 2024, 15(8), 2867-2881.



137
Design, Synthesis, and Biological Evaluation of 1,4-Dihydropyridine-Indole as a Potential Antidiabetic Agent via GLUT4 Translocation Stimulation
Sarita Katiyar, Shadab Ahmad, Abhishek Kumar, Alisha Ansari, Amol Chhatrapati Bisen, Ishbal Ahmad, Farah Gulzar, Rabi Sankar Bhatta, Akhilesh K. Tamrakar, Koneni V. Sashidhara*
Journal of Medicinal Chemistry 2024, 67(14), 11957-11974.



136
Design, synthesis, and biological evaluation of quinoline-piperazine/pyrrolidine derivatives as possible antileishmanial agents
Sarita Katiyar, Karthik Ramalingam, Abhishek Kumar, Alisha Ansari, Amol Chhatrapati Bisen, Garvita Mishra, Sachin Nashik Sanap, Rabi Sankar Bhatta, Bidyut Purkait, Neena Goyal, Koneni V. Sashidhara*
European Journal of Medicinal Chemistry 2023, 261, 115863.



135
Discovery, SAR and mechanistic studies of quinazolinone-based acetamide derivatives in experimental visceral leishmaniasis
Alisha Ansari, Anuradha Seth, Mukul Dutta, Tooba Qamar, Sarita Katiyar, Arvind K. Jaiswal, Ankita Rani, Swetapadma Majhi, Mukesh Kumar, Rabi S. Bhatta, Rajdeep Guha, Kalyan Mitra, Koneni V. Sashidhara*, Susanta Kar*
European Journal of Medicinal Chemistry 2023, 257, 115524.



134
Antileishmanial evaluation of triazole-butenolide conjugates: Design, synthesis, in vitro screening, SAR and in silico ADME predictions
Alka Raj Pandey, Suriya Pratap Singh, Karthik Ramalingam, Kanchan Yadav, Amol Chhatrapati Bisen, Rabi Sankar Bhatta, Mrigank Srivastava, Renu Tripathi, Neena Goyal, Koneni V. Sashidhara*
RSC Medicinal Chemistry, 2023, 14, 1131-1142.



133
Design, synthesis and evaluation of novel pyrrole-hydroxybutenolide hybrids as promising antiplasmodial and anti-inflammatory agents
Alka Raj Pandey, Suriya Pratap Singh, Prince Joshi, Kunwar Satyadeep Srivastav, Smriti Srivastava, Kanchan Yadav, Ramesh Chandra, Amol Chhatrapati Bisen, Sristi Agrawal, Sachin Nashik Sanap, Rabi Sankar Bhatta, Renu Tripathi, Manoj Kumar Barthwal, Koneni V.�Sashidhara*
European Journal of Medicinal Chemistry 2023, 254, 115340



132
16-Hydroxy-ent-halima-5(10),13-dien-15,16-olide from Polyalthia longifolia targets adipogenesis by inhibiting mitotic clonal expansion and ameliorates dyslipidemia
Nilesh Khandelwal, Alka Raj Pandey, Suriya Pratap Singh, Prashant Rai, Sanchita Gupta, Vinita Kushwaha, Astha Singh, Anil Nilkanth Gaikwad, Koneni V. Sashidhara*
Fitoterapia 2023, 170, 105626.



131
Moringa oleifera impedes protein glycation and exerts reno-protective effects in streptozotocin-induced diabetic rats
Shadab Ahmad, Alka Raj Pandey, Amit K. Rai, Suriya P. Singh, Pawan Kumar, Sushmita Singh, Farah Gulzar, Ishbal Ahmad, Koneni V. Sashidhara, Akhilesh K. Tamrakar
Journal of Ethnopharmacology 2023, 305, 116117.



129
A standardized extract of Coleus forskohlii root protects rats from ovariectomy-induced loss of bone mass and strength, and impaired bone material by osteogenic and anti-resorptive mechanisms
Chirag Kulkarni, Shivani Sharma, Konica Porwal, Swati Rajput, Sreyanko Sadhukhan, Vaishnavi Singh, Akanksha Singh, Sanjana Baranwal, Saroj kumar, Aboli Girme, Alka Raj Pandey, Suriya Pratap Singh, Koneni V. Sashidhara, Navin Kumar, Lal Hingorani, Naibedya Chattopadhyay.
Frontiers in Endocrinology 2023,14, 1130003



128
Preclinical pharmacokinetic exploration of a novel osteoporotic quinazolinone-benzopyran-indole hybrid (S019-0385) using LC-MS/MS
Mukesh Kumar, Mridula Chauhan, Sarvesh Kumar Verma, Arpon Biswas, Alisha Ansari, Anjali Mishra, Sachin Nashik Sanap, Amol Chhatrapati Bisen, Koneni V. Sashidhara, Rabi Sankar Bhatta
Xenobiotica, 2023, 53, 484�497.



126
Design, synthesis and biological evaluation of new quinazolinone-benzopyran-indole hybrid compounds promoting osteogenesis through BMP2 upregulation
Anirban Sardar, Alisha Ansari, Sampa Gupta, ShradhaSinha, ShubhamPandey, Divya Rai, MukeshKumar, Rabi Sankar Bhatta, Ritu Trivedi, Koneni V.�Sashidhara*
European Journal of Medicinal Chemistry 2022, 244, 114813.



125
A novel BMP2 secretagogue ameliorates glucocorticoid induced oxidative stress in osteoblasts by activating NRF2 dependent survival while promoting Wnt/?-catenin mediated osteogenesis
Divya Rai, Ashish Kumar Tripathi, Sardar, Anirban; Pandey, Alka Raj Shradha Sinha, Kunal Chutani, Geeta Dhaniya, Priyanka Kothari, Koneni V.�Sashidhara, Ritu Trivedi
Free Radical Biology & Medicine 2022, 190, 124-147



124
Furostanol saponins from Asparagus racemosus as potential hypoglycemic agents
Alka Raj Pandey, Shadab Ahmad, Suriya Pratap Singh, Anjali Mishra, Amol Chhatrapati Bisen, Gaurav Sharma, Ishbal Ahmad , Sanjeev K. Shukla, Rabi Sankar Bhatta, Sanjeev Kanojiya, Akhilesh Kumar Tamrakar, Koneni V. Sashidhara*
Phytochemistry 2022, 201, 113286



123
Butyrylation Meets Adipogenesis-Probed by a p300-Catalyzed Acylation-Specific Small Molecule Inhibitor: Implication in Anti-obesity Therapy
Aditya Bhattacharya, Sourav Chatterjee, Utsa Bhaduri, Akash Kumar Singh, Madavan Vasudevan, Koneni V. Sashidhara, Rajdeep Guha, Aamir Nazir, Srikanta Kumar Rath, Nagashayana Natesh, Tapas K. Kundu
Journal of Medicinal Chemistry 2022, 65, 12273-12291



119
Synthesis and Evaluation of Galloyl Conjugates of Flavanones as BMP-2 Upregulators with Promising Bone Anabolic and Fracture Healing Properties
Alka Raj Pandey, Divya Rai, Suriya Pratap Singh, Ashish Kumar Tripathi, Anirban Sardar, Alisha Ansari, Anjali Mishra, Sudha Bhagwati, Rabi Sankar Bhatta, Mohammad Imran Siddiqi, Naibedya Chattopadhyay, Ritu Trivedi*, Koneni V. Sashidhara*
Journal of Medicinal Chemistry 2021, 64, 12487-12505



117
Identification of natural products as potential pharmacological chaperones for protein misfolding diseases
Richa Sharma, Tulika Srivastava, Alka Raj Pandey, Tripti Mishra, Bhagyashri Gupta, Sabbu Sathish Reddy, Suriya P. Singh, Tadigoppula Narender, Aradhya Tripathi, Balasubramanian Chandramouli, Koneni V. Sashidhara, Smriti Priya and Niti Kumar
ChemMedChem, 2021, 16, 2146-2156



116
Flavonoids from Polyalthia longifolia prevents advanced glycation end products formation and protein oxidation aligned with fructose-induced protein glycation
Amit K Rai, Suriya P. Singh, Alka Raj Pandey, Alisha Ansari, Shadab Ahmad, Koneni V Sashidhara, Akhilesh K Tamrakar
Natural Product Research 2021, 35, 2921-2925.



114
Microwave-assisted efficient synthesis of pyrazole-fibrate derivatives as stimulators of glucose uptake in skeletal muscle cells
Sampa Gupta, Amit Kumar Rai, Shubham Pandey, L. Ravithej Singh, Ruchir Kant, Akhilesh K. Tamrakar, Koneni V. Sashidhara*
Bioorganic & Medicinal Chemistry Letters 2021, 34, 127760



112
Benzofuran pyran compound rescues rat and human osteoblast from lipotoxic effect of palmitate by inhibiting lipid biosynthesis and promoting stabilization of RUNX2
Ashish Kumar Tripathi, Divya Rai, Priyanka Kothari, Pragati Kushwaha, Shradha Sinha, Anirban Sardar, Koneni V. Sashidhara, Ritu Trivedi
Toxicology In Vitro 2020, 66, 104872



111
Development and validation of LC-MS/MS method for quantification of novel PP2A - ?-catenin signalling inhibitor, S011-2111 in mice plasma: Application to its preclinical pharmacokinetic studies
Mohammed Riyazuddin, Athar Husain, Guru R Valicherla, Saurabh Verma, Anand P Gupta, Kusuma S Praveena, Akhilesh Singh, Srinivasa R Avula, Koneni V. Sashidhara, Dipak Datta, Jiaur R Gayen
Journal of Chromatography B 2019, 1130-1131, 121829.



109
Synthesis, Biological Evaluation, Structure?Activity Relationship and Mechanism of Action Studies of Quinoline-metronidazole Derivatives against Experimental Visceral Leishmaniasis
Akanksha Upadhyay, Pragya Chandrakar, Sampa Gupta, Naveen Parmar, Sandeep Kumar Singh, Mamunur Rashid, Pragati Kushwaha, M. Wahajuddin, Koneni V. Sashidhara* and Susanta Kar*
Journal of Medicinal Chemistry 2019, 62(11), 5655- 5671.



108
Synthesis, biological evaluation and molecular dynamic simulations of novel Benzofuran-tetrazole derivatives as potential agents against Alzheimer's disease
Pragati Kushwaha, Soobiya Fatima, Akanksha Upadhyay, Sampa Gupta, Sudha Bhagwati, TanviBaghel, M. I. Siddiqi, Aamir Nazir, Koneni V. Sashidhara*
Bioorganic & Medicinal Chemistry Letters 2019, 29, 66-72.



107
Evaluation of interconversion pharmacokinetics of 16?-hydroxycleroda-3, 13(14)Z-dien-15,16-olide -a novel HMG-CoA reductase inhibitor and its acid metabolite using multi-compartmental pharmacokinetic model in mice
Tulsankar SachinLaxman, Santosh Kumar Puttervu, AnjaliMishra, SarveshVerma, S. P. Singh, K. V. Sashidhara, C. M. Marandi, Shivani Saxena, Manoj K. Yadav, Rabi S. Bhatta
Xenobiotica 2019, 49, 474-483.



106
In-house chemical library repurposing: A case example for Pseudomonas aeruginosa antibiofilm activity and quorum sensing inhibition
L.Ravithej Singh, Vikash C. Tripathi, Sneha Raj, AnoopKumar, SampaGupta, Soyar Horam, Akanksha Upadhyay, PragatiKushwaha, Jesu Arockiaraj, Koneni V. Sashidhara, Mukesh Pasupuleti
Drug Development Research 2018, 79, 383-390.



105
Synthesis and study of be nzofuran-pyran analogs as BMP-2 targeted osteogenic agents
Pragati Kushwaha, Ashish Kumar Tripathi, SampaGupta, Priyanka Kothari, Akanksha Upadhyay, Naseer Ahmad, Tanuj Sharma, M. ISiddiqi, Ritu Trivedi, Koneni V. Sashidhara*
European Journal of Medicinal Chemistry 2018, 156, 103-117.



104
Pharmacokinetics, metabolism, bioavailability, tissue distribution and excretion studies of 16?-hydroxycleroda-3, 13(14) Z -dien-15, 16-olide-a novel HMG-CoA reductase inhibitor
Tulsankar Sachin Laxman, Santosh Kumar Puttrevu, Rajesh Pradhan, Anjali Mishra, Sarvesh Verma, Yashpal S. Chhonker, Swarnim Srivastava, Suriya P. Singh, Koneni V. Sashidhara, Rabi Sankar Bhatta
Naunyn-Schmiedeberg's Archives of Pharmacology 2018, 391, 965-973.



101
Discovery of coumarin-dihydroquinazolinone analogs as niacin receptor 1 agonist with in-vivo anti-obesity efficacy
L. RavithejSingh, AjeetKumar, AkankshaUpadhyay, Sampa Gupta, Gopala Reddy Palanati, Kamakshi Sikka, Mohammad Imran Siddiqi, Prem N. Yadav, Koneni V. Sashidhara*
European Journal of Medicinal Chemistry 2018, 152, 208-222.



100
Synthesis and bio-evaluation of indole-chalcone based benzopyrans as promising antiligase and antiproliferative agents
Sampa Gupta, Pooja Maurya, Akanksha Upadhyay, Pragati Kushwaha, Shagun Krishna, Mohammad Imran Siddiqi, Koneni V. Sashidhara*, Dibyendu Banerjee*
European Journal of Medicinal Chemistry 2018,�143, 1981-1996.



99
Substituted carbamothioic amine-1-carbothioic thioanhydrides as novel trichomonicidal fungicides: Design, synthesis, and Biology
Dhanaraju Mandalapu, Bhavana Kushwaha, Sonal Gupta, Shagun Krishna, Nidhi Srivastava, Mahendra Shukla, Pratiksha Singh, Bhavana S Chauhan, Ravi Goyani, Jagdamba P Maikhuri, Koneni V. Sashidhara, Brijesh Kumar, Renu Tripathi, Praveen K Shukla, Mohammad I. Siddiqi, Gopal Gupta, Vishnu L. Sharma*
European Journal of Medicinal Chemistry 2018, 143, 632-645.



98
Discovery of a novel small molecule inhibitor that targets PP2A-?-Catenin signaling and restricts tumor growth and metastasis
Shrankhla Maheshwari, Avula S Rao, Akhilesh Singh, L Ravithej Singh, Gopala R Palnati, Rakesh K Arya, Srikanth H Cheruvu, Sudhir Shahi, Tanuj Sharma, Sanjeev Meena, Anup K Singh, Ruchir Kant, Mohammed Riyazuddin, Himangsu K Bora, Mohammad I Siddiqi, Jiaur R Gayen, Koneni V. Sashidhara*, Dipak Datta*
Molecular Cancer Therapeutics 2017, 16, 1791-1805.



97
Benzofuran-dihydropyridine hybrids: A new class of potential bone anabolic agents
Ram K. Modukuri, Dharmendra Chodhary, Sampa Gupta, K Bhaskara Rao, Sulekha Adhikary, Tanuj Sharma, Mohammad Imran Siddiqi, Ritu Trivedi* and Koneni V. Sashidhara*
Bioorganic & Medicinal Chemistry 2017, 25, 6450-6466.



94
Coumarin-chalcone hybrid instigates DNA damage by minor groove binding and stabilizes p53 through post translational modifications
Raghib Ashraf,�Hamidullah,�Mohammad Hasanain,�Praveen Pandey,�Mayank Maheshwari,�L. Ravithej Singh,�M. Quadir Siddiqui,�Rituraj Konwar,� Koneni V. Sashidhara�,�Jayanta Sarkar*
Scientific Reports 2017, 7, 45287.



93
A phenolic glycoside from Flacourtia indica induces heme mediated oxidative stress in Plasmodium falciparum and attenuates malaria pathogenesis in mice
Shiv Vardan Singh, Ashan Manhas, Suriya P Singh, Sonali Mishra, Nimisha Tiwari, Parmanand Kumar, Karuna Shanker, Kumkum Srivastava, Koneni V. Sashidhara, Anirban Pal.*
Phytomedicine 2017, 30, 1-9.



92
The diacylglycerol acyltransferase Rv3371 of�Mycobacterium tuberculosis�is required for growth arrest and involved in stress-induced cell wall alterations
Shivangi Rastogi, Amit Kumar Singh, Gyan Chandra, Pragati Kushwaha, Garima Pant, Kavita Singh, Kalyan Mitra,Koneni V. Sashidhara, Manju Y. Krishnan*
Tuberculosis 2017, 104, 8-19.



90
Synthesis of Highly Substituted Imidazo [1, 5?a] quinoxalines Through a Multicomponent Reaction Followed by Deprotection�Cyclization
Koneni V. Sashidhara*, Ranga Prasad Dodda, Akanksha Upadhyay, Gopala Reddy Palnati, Ram K. Modukuri, Ruchir Kant.
Advanced Synthesis & Catalysis 2016, 358, 2612-2618.



89
Development of Leishmania donovani stably expressing DsRed for flow cytometry-based drug screening using chalcone thiazolyl-hydrazone as a new antileishmanial target
Anil Kumar Jaiswal, K Bhaskara Rao, Pragati Kushwaha, Keerti Rawat, Ram K Modukuri, Prashant Khare, Sumit Joshi, Shikha Mishra, Ambak Rai, Koneni V Sashidhara*, Anuradha Dube. *
International Journal of Antimicrobial Agents 2016, 48, 695-702.



88
Hybrids of coumarin-indole: design, synthesis and biological evaluation in Triton WR-1339 and high-fat diet induced hyperlipidemic rat models
Koneni V. Sashidhara,*, K. Bhaskara Rao, Ravi Sonkar, Ram K. Modukuri, Yashpal S Chhonker, Pragati Kushwaha, Hardik Chandasana, AK Khanna, Rabi S Bhatta, Gitika Bhatia, Manish Kumar Suthar, Jitendra Kumar Saxena, Vikash Kumar, Mohammad Imran Siddiqi.
MedChemComm 2016, 7, 1858-1869.



87
Design, synthesis and in vitro evaluation of coumarin�imidazo [1, 2-a] pyridine derivatives against cancer induced osteoporosis
Koneni V. Sashidhara *, L Ravithej Singh, Dharmendra Choudhary, Ashutosh Arun, Sampa Gupta, Sulekha Adhikary, Gopala Reddy Palnati, Rituraj Konwar, Ritu Trivedi.
RSC Advances 2016, 6, 80037-80048.



85
Design, synthesis and anticancer activity of dihydropyrimidinone�semicarbazone hybrids as potential human DNA ligase 1 inhibitors
Koneni V. Sashidhara *, L Ravithej Singh, Mohammad Shameem, Sarika Shakya, Anoop Kumar, Tulsankar Sachin Laxman, Shagun Krishna, Mohammad Imran Siddiqi, Rabi S Bhatta, Dibyendu Banerjee*
MedChemComm 2016, 7, 2349-2363.



84
Identification of lipid metabolism-targeting compounds active against drug-resistant M. tuberculosis
Alok Kumar Singh, Pratiksha Karaulia, Pragya Yadav, Tadigoppula Narender, Suriya P Singh, Koneni V. Sashidhara, Amit K Pandey, Sidharth Chopra, Arunava Dasgupta. *
Journal of Global Antimicrobial Resistance 2016, 7, 26-27.



83
Designing, synthesis of selective and high-affinity chalcone-benzothiazole hybrids as Brugia malayi thymidylate kinase inhibitors: in vitro validation and docking studies
Koneni V. Sashidhara*, Srinivasa Rao Avula, Pawan Kumar Doharey, L. Ravithej Singh, Vishal M. Balaramnavar, Jyoti Gupta, Shailja Misra-Bhattacharya, Sushma Rathaur, Anil K. Saxena, Jitendra Kumar Saxena. *
European Journal of Medicinal Chemistry 2015, 103, 418-428.



82
Novel chalcone-thiazole Hybrids as Potent Inhibitors of Drug Resistant Staphylococcus Aureus.
Koneni V. Sashidhara*, K. Bhaskara Rao, Pragati Kushwaha, Ram K. Modukuri, Pratiksha Singh, Isha Soni, P. K. Shukla, Sidharth Chopra and Mukesh Pasupuleti.
ACS Medicinal Chemistry Letters 2015, 6, 809-813. (FRONT COVER PAGE)



79
A clerodane diterpene inhibit adipogenesis by cell cycle arrest and ameliorate obesity in C57BL/6 mice.
Muheeb Beg, Kripa Shankar, Salil Varshney, Sujith Rajan, Suriya Pratap Singh, Pankaj Jagdale, Anju Puri, Bhushan P. Chaudhari, Koneni V. Sashidhara*, Anil Nilkanth Gaikwad.*
Molecular and Cellular Endocrinology 2015, 399, 373-385.



78
Identification of quinoline-chalcone hybrids as potential antiulcer agents
Koneni V. Sashidhara*, Srinivasa Rao Avula, Vaibhav Mishra, Gopal Reddy Palnati, L. Ravithej Singh, Neetu Singh, Yashpal S. Chhonker, Priyanka Swami, R.S. Bhatta, Gautam Palit.
European Journal of Medicinal Chemistry 2015, 89, 638-653.



77
Benzofuran--Chalcone Hybrids as Potential Multifunctional Agents against Alzheimer's Disease: Synthesis and in vivo Studies with Transgenic Caenorhabditis elegans
Koneni V. Sashidhara *, Ram K. Modukuri, Pooja Jadiya, Ranga Prasad Dodda, Manoj Kumar, Balasubramaniam Sridhar, Vikash Kumar, Rizwanul Haque, Mohammad Imran Siddiqi, Aamir Nazir.*
CHEMMEDCHEM 2014, 9, 2671-2684.



76
Discovery of 3-arylcoumarin-tetracyclic tacrine hybrids as multifunctional agents against Parkinson�s disease
Koneni V. Sashidhara*, Ram K. Modukuri , Pooja Jadiya , K. Bhaskara Rao , Tanuj Sharma, Rizwanul Haque , Deependra Kumar Singh , Dibyendu Banerjee , Mohammad Imran Siddiqi, Aamir Nazir.
ACS Medicinal Chemistry Letters 2014, 5, 1099-1103. (FRONT COVER PAGE).



65
HPLC method for identification and quantification of two potential anti-inflammatory and analgesic agents-1,3-dibenzyl urea and aurantiamide acetate in the roots of Moringa oleifera
Shakti Deep Pachauri, Kiran Khandelwal, Suriya P. Singh, Koneni V. Sashidhara, Anil Kumar Dwivedi*
Medicinal Chemistry Research 2013, 11, 5284-5289.



61
Studies on Novel Synthetic Methodologies, Part XII: An Efficient One-Pot Access to 6,6a-Dihydroisoindolo[2,1-a]quinazoline-5,11-diones and 5-Phenylisoindolo[2,1-a]quinazolin-11(6aH)-ones
Koneni V. Sashidhara*, Gopala Reddy Palnati, Ranga Prasad Dodda, Srinivasa Rao Avula, Priyanka Swami
SYNLETT 2013, 24, 105-113.



56
Antiplasmodial activity of novel keto-enamine chalcone-chloroquine based hybrid pharmacophores
Koneni V. Sashidhara*, Manoj Kumar, Ram K. Modukuri, Rajeev Kumar Srivastava, Awakash Soni, Kumkum Srivastava, Shiv Vardan Singh, J.K. Saxena, Harsh M. Gauniyal, Sunil K. Puri
Bioorganic & Medicinal Chemistry 2012, 20, 2971-2981.



48
Simultaneous estimation of 16?-hydroxycleroda-3, 13(14) Z-dien-15, 16-olide from Polyalthia longifolia and its metabolite in hamster plasma: application to pharmacokinetic study
R. S. Bhatta*, Devendra Kumar, Y. S. Chhonker, Deepak Kumar, Suriya P. Singh, Koneni V. Sashidhara, G. K. Jain
Biomedical Chromatography 2012, 26, 559-565.



46
Synthesis and in vitro evaluation of new chloroquine-chalcone hybrids against chloroquine-resistant strain of Plasmodium falciparum
Koneni V. Sashidhara*, Srinivasa Rao Avula, Gopala Reddy Palnati, Shiv Vardan Singh, Kumkum Srivastava, Sunil K. Puri, J.K. Saxena
Bioorganic & Medicinal Chemistry Letters 2012, 22, 5455-5459.



44
Discovery of a new class of HMG-CoA reductase inhibitor from Polyalthia longifolia as potential lipid lowering agent
Koneni V. Sashidhara*, Suriya P. Singh, Anuj Srivastava, Anju Puri, Yashpal S. Chhonker, Rabi S. Bhatta, Priyanka Shah, Mohammad Imran Siddiqi
European Journal of Medicinal Chemistry 2011, 46, 5206-5211.



37
Neo-tanshinlactone inspired synthesis, in vitro evaluation of novel substituted benzocoumarin derivatives as potent anti-breast cancer agents.
Koneni V. Sashidhara*, Jammikuntla N. Rosaiah, Manoj Kumar, Rishi Kumar Gara, Lakshma Vadithe Nayak, Kamini Srivastava, Hemant Kumar Bid, Rituraj Konwar
Bioorganic & Medicinal Chemistry Letters 2010, 20, 7127-7131.



35
Cytotoxic cycloartane triterpene and rare isomeric bisclerodane diterpenes from the leaves of Polyalthia longifolia var. pendula
Koneni V. Sashidhara*, Suriya P. Singh, Ruchir Kant, Prakas R. Maulik, Jayanta Sarkar, Sanjeev Kanojiya, K. Ravi Kumar
Bioorganic & Medicinal Chemistry Letters 2010, 20, 5767-5771.



31
The marine sponge metabolite mycothiazole: a novel prototype mitochondrial complex I inhibitor
J. Brian Morgan, Fakhri Mahdi, Yang Liu, Veena Coothankandaswamy, Mika B. Jekabsons, Tyler A. Johnson, Koneni V. Sashidhara, Phillip Crews, Dale G. Nagle*, Yu-Dong Zhou*
Bioorganic & Medicinal Chemistry 2010 18, 5988-5994.



28
Assessing pressurized liquid extraction for the high-throughput extraction of marine-sponge-derived natural products
Tyler A. Johnson, Micaela V. C. Morgan, Natalie A. Aratow, Samarkand A. Estee, Koneni V. Sashidhara, Steven T. Loveridge, Nathaniel L. Segraves, Phillip Crews*
Journal of Natural Products 2010, 73, 359-364.



27
16?-hydroxycleroda-3, 13 (14) z-dien-15, 16-olide from polyalthia longifolia: A safe and orally active antileishmanial agent
Pragya Misra, Koneni V Sashidhara*, Suriya P. Singh, Awanish Kumar, Reema Gupta, Shailendra S Chaudhaery, Souvik Sen Gupta, HK Majumder, Anil K Saxena, Anuradha Dube*
British Journal of Pharmacology, 2010 159, 1143-1150.



21
The aignopsanes, a new class of sesquiterpenes from selected chemotypes of the sponge Cacospongia mycofijiensis
Tyler A. Johnson, Taro Amagata, Koneni V. Sashidhara, Allen G. Oliver, Karen Tenney, Teatulohi Matainaho, Kenny Kean-Hooi Ang, James H. McKerrow, Phillip Crews *
Organic Letters 2009, 11, 1975-1978.



17
Highly efficient and regioselective synthesis of keto-enamine Schiff bases of 7-Hydroxy-4-methyl-2-oxo-2H-benzo[h]chromene-8,10-dicarbaldehyde and 1-Hydroxynaphthalene-2,4-dicarbaldehyde
Koneni V. Sashidhara*, Jammikuntla N. Rosaiah, Tadigoppula Narender *.
Tetrahedron Letters 2007, 48,1699-1702.



16
Chemical composition of the inflorescence essential oil of Coleus forskohlii
Pratibha Khare, K. V. Sashidhara, Anju Yadav*, S. N. Garg, S. P. S. Khanuja
Indian Perfumer 2007, 51, 47-48.



9
Constituents of leaf essential oil of Amomum subulatum Roxb. from lower region of Himalayas.
K. V. Sashidhara *, R. S. Verma, P. Ram
Indian Perfumer, 49, 2005, 169-171.



7
Evaluation of geranium cultivars (Pelargonium graveolens) in Tarai region of Uttaranchal
K. V. Sashidhara*, R. S. Verma, P. Ram
Indian Perfumer 2004, 48, 273-276.



6
Alpinia galanga L.- Composition of essential oil from flowers
S. N. Garg*, Deepti Gupta, K. V. Sashidhara, V. K. Mehta
Indian Perfumer 2003, 47, 147-149.








































































